

Aspect in fact found that the top customer service frustra-
tion for consumers today is having to repeat themselves mul-
tiple times to multiple people via multiple channels – ahead
of being transferred and ahead of not getting any issue reso-
lution at all. Essentially, any customer service engagement,
whether with an agent or through self-service, if done in
isolation from a customer’s interaction history or live-service
engagement, can create consumer frustration.
The InContact study found that the stakes are high: it re-
vealed that 86 percent would be very likely to switch to another
company in the future after a bad customer service experience.
“Companies need to be more intentional about the omnichan-
nel journey or face the consequences of increased dissatisfac-
tion and churn,” Jarman said.
Contextual Relevance
One of the benefits of a cloud-based contact center strategy
is the ability to wrap in other IP-based functionality by inte-
grating customer experience software.
For instance, Aspect has tackled the contextual issue with
Aspect Experience Continuity, available in a cloud-based con-
figuration. It’s an intelligent customer interaction platform
that provides context and continuity for those times when cus-
tomers move from self-service to live-service, switch between
service channels, or migrate between proactive outbound com-
munication and inbound service inquiries.
Connected and contextually linked service gives customers
quick and convenient access to information when needed, and
can also provide quick ROI for businesses that can focus their
contact center staff on more elaborate inquiries and customer
retention efforts.
As an example, consider an exchange about a policy claim
between a customer and their insurance company. The custom-
er makes a call outside of business hours and interacts with the
IVR, inquiring about a claim, but doesn’t get all the answers
they want from the automated system. The Continuity Server
stores data about this interaction so the next day the insurance
company takes action based on this information and calls the
customer back, asking them if they’d like to pick up where the
IVR conversation had left off.
“With the proliferation of available customer care channels
in this age of pervasive mobile computing, a smooth handover
between channels such as mobile app, IVR or Web site, or
when switching from self-service to live-service, is more crucial
than ever to providing excellent customer service,” said Spence
Mallder, CTO and general manager at Aspect. “We call it ‘Ex-
perience Continuity.’”
By storing context cookies in Aspects’ Continuity Server
during the customer journey, customers can experience conti-
nuity when attempting to complete an interrupted transaction
either at a later time, or on a different channel, explained Mall-
der. “If executed effectively, it significantly reduces the age-old
complaint of customers having to repeat themselves.”
Also, now out of stealth mode, software startup Altocloud is
prepping a commercial launch of its predictive communications
platform for customer service.
The hosted platform takes aim at boosting customer sales
and engagement with a combination of machine learning and
real-time communications. The idea is to intelligently identify
and profile an online visitor and deliver tailored chat, voice,
video and content to that customer. In doing so, the platform
makes real-time decisions such as “will connecting this pros-
pect to this sales representative now help them purchase today,
or should we simply make a recommendation?”
“We are a digital business driving value through our digital
and self-service channels,” said Steven Wastie, CMO at AppDy-
namics, which is a beta customer for the platform. “Altocloud pre-
dictive communications allows us to profile and engage prospects
where they are – online – according to their personas and behav-
iors to improve customer experiences and sales conversion.”
To that end, the software-as-a-service play also can
integrate with existing marketing automation and
e-commerce platforms.
“There is a better route to digital customer engagement than
yesterday’s 1-800 numbers, random chat pop-ups and disjointed
telephone conversations,” explained Altocloud CEO Barry
O’Sullivan. “Our platform enhances existing marketing
and sales software so that companies doing business on-
line can reach out to prospects at a time when they’re
most interested, to drive increased sales.”
Bottom line? The cloud offers many perks that
channel partners can talk up to their clients, both pro-
spective and existing. And being armed with the knowl-
edge of key pain points – i.e. the need to enable a cus-
tomer interaction trail that provides channel-agnostic
context to the service rep – can be a true differentiator
in the rapidly developing contact center space.
“Our research shows that customers, on average,
use more than four different self-service or live-assist
channels in order to complete their e-commerce tasks,”
said Dan Miller, lead analyst at Opus Research. “Rapid
recognition of each customer’s intent within the context
of an ongoing conversation shortens each step, promotes
loyalty and creates a more pleasing experience for both
customers and their selected agent.”
Source: Harris Poll, inContact
Source: Aberdeen Group
Strengths of Public Cloud Contact Centers
Source: Software Advice
Consumers Expect Multichannel Choices
Consumers who think these chann ls are important for service when purchasing nline
Source: Piper Jaffray
V ndor Choi
87% of surveyed medium and large
have SDN in live production in the
7%
7%
3%
0% 10%
Cisco
VMware/Nicera
Juniper
Dell
HP
F5
Other
Arista
Broc d
11%
15%
17% 17%
18
0% 10% 20% 30% 40% 50% 60%
Lack of PBX
applications
Difficult to use
Malfunctioning
system
Lack of
scalability
Too expensive
16%
6%
10%
10%
9%
7%
10%
3%
7%
10%
6%
10%
3%
19%
7%
Legacy PBX
On-premises
IP PBX
Cloud PBX
0%
20%
40%
60%
80%
100%
Online
self-service
order
tracking
0800
to
advisors
Online
chat
SMS
/Text
0800
to IVR
Apps for
mobile
devices
Social
media
sites
Online
video
chat
93%93% 88% 87%
70%
81%
61%
67%
53%
46% 46%
53%
44%
50%
38%39%
30% 32%
0%
10%
20%
30%
40%
50%
Customer interactions
are delivered through
channel preferred by
clients
Formal organizational
intitiative to
ensure PCI
compliance
Each interaction is
measured based on its
influence on customer
experience results
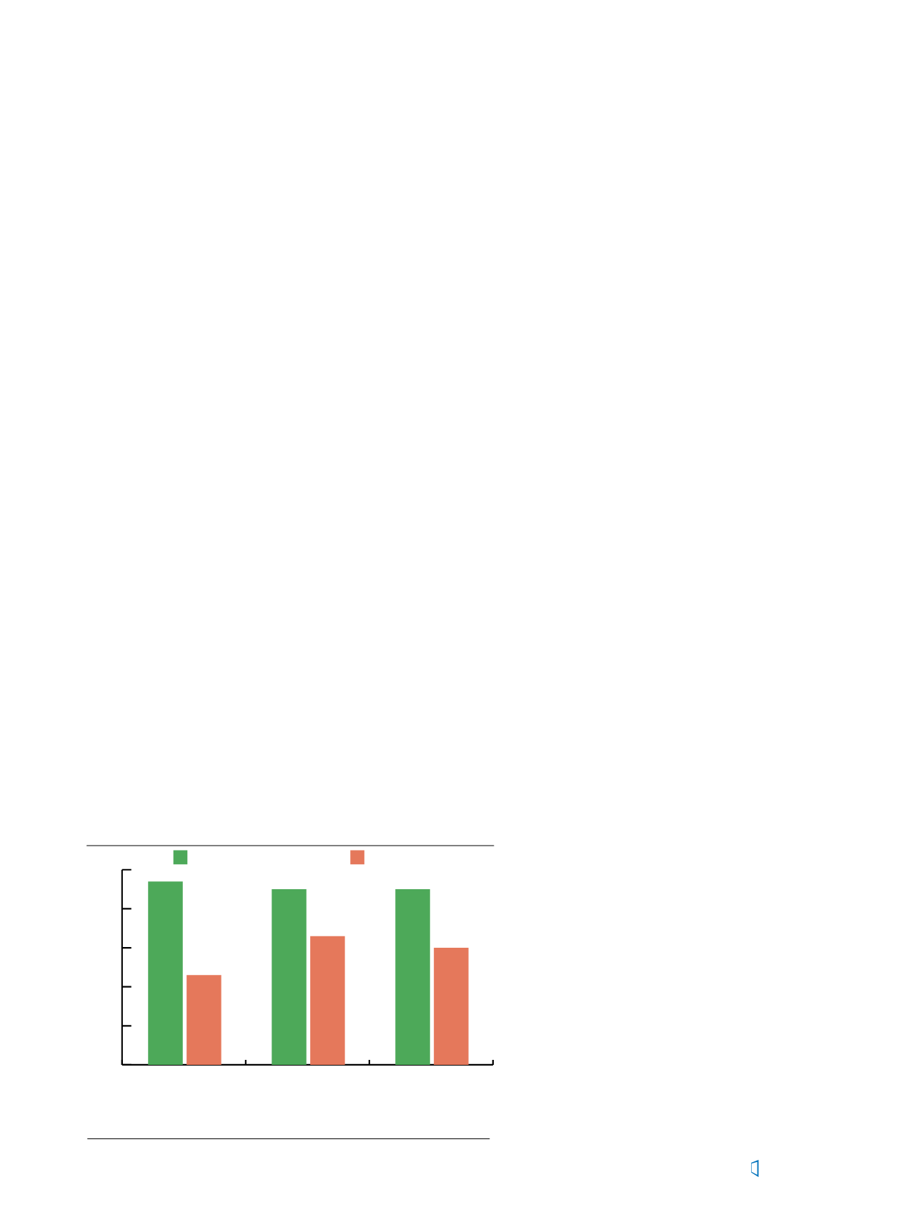
Public Cloud Contact Center
In-House Contact Centers
47%
23%
45%
33%
45%
30%
Source: Computer Economics
0%
10%
2007 2008 2009 2010 20
Source: Pew Rese
Percent of
is “very i
T
Lan
Cell or s
Social netw
like Twitte
Great Britain
U.S.
32
Channel
Vision
|
May - June 2015